°øÁö»çÇ×
- Á¦¸ñ
- û¼Ò³â ÅëÀÏÃàÁ¦ ÀÔ»óÀÚ °ø°í
- À̸§
- À̹ÌÁ¤
- µî·ÏÀÏ
- 2022-06-17
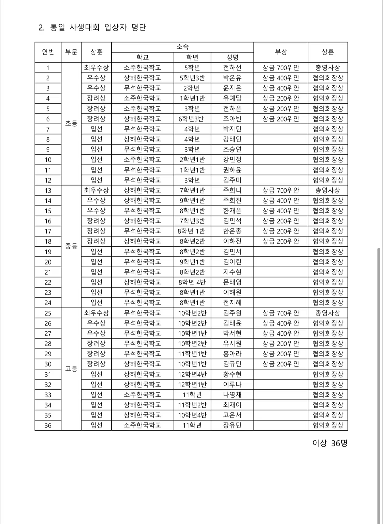
Áö³ 2022³â 5¿ù 28ÀÏ Ã»¼Ò³â ÅëÀÏÃàÁ¦ ±ÛÁþ±â, »ç»ý´ëȸ, µµÀü °ñµçº§ 3Á¾¸ñ °¢°¢ÀÇ ÀÔ»óÀÚ ¸í´ÜÀ» °ø°íÇÕ´Ï´Ù.
½Ã»ó½Ä : 2022³â 6¿ù 16ÀÏ 1½Ã ±³Àå½Ç¿¡¼ ½Ç½Ã



½Ã»ó½Ä : 2022³â 6¿ù 16ÀÏ 1½Ã ±³Àå½Ç¿¡¼ ½Ç½Ã
- ÀÌÀü±Û
- 2022Çг⵵ ±³³» ÇÁ·ÎÁ§Æ® ¿¬±¸ ¹ßÇ¥ ´ëȸ ¾È³»
- / ±è¿ìÀç
- 2022.06.10
- ´ÙÀ½±Û
- À¯Ä¡¿ø ³²³à ÈÀå½Ç °³Á¶°ø»ç
- / ¼ÕÆÃÆÃ
- 2022.06.20
